「这是一项革命性的工作」、「不是……而是……」、「首先……其次……」;在一篇文章里读到这些词,你是不是本能地开始觉得,有点不对劲了。
三年前,这些用法还都是正常的表达,它们出现在各种经典文学作品的段落里。但现在,不管怎么用它,只要有这些词存在,就有充分的迹象表明,你正在阅读的内容是由 AI 生成。
这很听起来很荒诞,但我们似乎都已经完全接受了这样的现实。甚至再过几年,可能所有的文字都可能是由 AI 生成,到时每个词都将被打上了「AI 味」的标签。

AI 文字的泛滥速度有多快,美国版贴吧 Reddit 前几天表示,正在遭受大规模的 AI 内容入侵,几大热门板块都被 AI Slop(AI 垃圾)淹没。
其中一个拥有 2400 万用户的超大社区 r/AmItheAsshole(我是不是个混蛋)里,管理员 Cassie 悲观地估计,高达 50% 的内容,都在某种程度上被 AI 污染过。

Reddit「我是混蛋吗」版块有超过 2400 万成员,里面分享的内容大多是个人故事
曾经我们以为这些「活人感」极强的内容分享,AI 还没办法替代。如今,AI 却在那里恣意扮演着,拥有真情实感的人类;屏幕前的我们为了自证清白,反而开始学习「AI 味」是什么,然后被迫像傻瓜一样说话。
AI 也学会了阴阳怪气
国内的社交媒体也不例外,刷小红书的时候,看到那种评论特别多、吵得相当厉害的帖子,点进去用户个人主页一看,一个昵称都是默认数字的用户。有网友在帖子下面评论,「大家别回复了,过几天他就要在小红书接广告,开始带货了。」
从开始用 AI 发表各种旅游攻略、工具分享、科技新闻,这些比较理性的内容,到现在 AI 进军家长里短、校园职场、情感成长等感性的内容。
经常是一些故意挑起对立的帖子,然后追根溯源,发现整件事情根本就不存在,都是 AI 生成的「本故事纯属虚构」,光是浪费了我们的心情。

大量能直接生成,爆款小红书笔记的 AI 工具
这种现象在「人在美国,刚下飞机」的知乎、还有本就是各种广告的微博,同样泛滥。我们曾经以为的活人味,真实的争吵、离谱的求助、和没有任何修饰的情绪,现在都开始被 AI 承包了。
连线前几天报道的 Reddit 这则类似消息,里面提到了多个有着千万成员的版块,充斥着大量的 AI 内容。而这些 AI 不再是那种只会发硬广的僵尸号,它们学会了生成各种挑起对立、增加评论热度(Rage-bait)的故事。
像是有人用 AI 编造了一个「新娘要求客人,穿特定丑陋颜色衣服」的婚礼闹剧,还有虚构大量「子女与父母爆发冲突」的共情话题。而这些 AI 故事唯一的目的,就是挑动真实用户的愤怒,骗取点击和互动,然后养号、卖账号。

Reddit 的贡献者计划,发帖者通过获得点赞(karma)、评论等互动来赚钱
AI 现在可以模拟上亿种人生,想要什么故事他都有。另一个热门版块的版主在接受采访时说,AI 是 Reddit 生存的巨大威胁。因为 AI 也使用 Reddit 上的真人语料训练,而现在 AI 内容又出现在 Reddit 上。
AI 喂养 AI,就像蛇开始吞噬自己的尾巴,不采取行动,Reddit 终会自取灭亡。
Reddit 发言人说,2025 年上半年已经删除了超过 4000 万条垃圾和虚假内容。但现在的 AI,进化到学会了人类的口癖、情绪甚至偏见。当我们在评论区为一个离谱的故事义愤填膺时,屏幕对面让人血压升高的,可能只是一串代码。
我们越来越难分辨,这段写得太顺的话,到底是不是 AI 写的?也开始接受,无论是那些正式的、得体的表达,还是微博上某句没有逻辑和章法的吐槽,都正在被 AI 吸收。

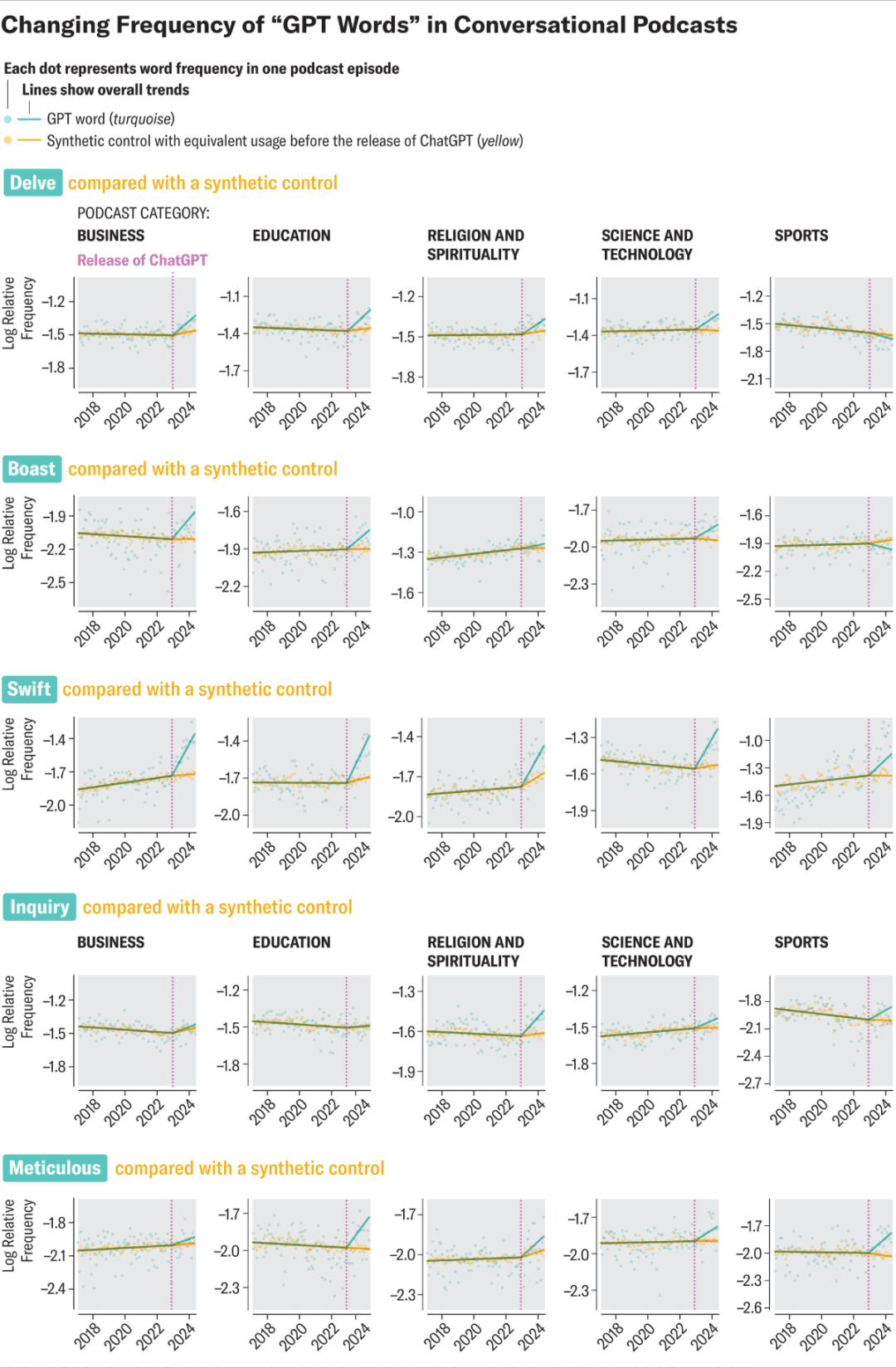
ChatGPT 发布后的 18 个月内,马克斯·普朗克人类发展研究所统计了 36 个 YouTube 视频,发现 AI 味词语(Delve、Boast、Swift、Inquiry、Meticulous)的使用量激增;这些词不仅出现在正式、脚本化的视频或播客节目中,也渗透到了随机的对话中。例如在 ChatGPT 出现之前,一般不会说 delve(钻研),而是直接说 look into(调查研究)
就像前几年,社交媒体上热衷于用一些缩写,像是 YYDS、Y1S1、DDDD 等表达,现在也同样常见,但这些用法,现在的 AI 显然也能直接拿过来用。
这种感觉很像三体第一部里面,「物理学不存在了」,AI Slop 的成功,甚至不需要伪造一个新的世界,它只需要让我们现在的内容世界变得不可信,这种怀疑就足够我们折腾了。
哪怕帖子不是 AI 写的,但 AI 的存在就像房间里有个间谍,怀疑本身成了最大的敌人。
Reddit 上的管理员,也解释了他们如何检测 AI 生成的内容,但最后都统一到「凭感觉」这一方法。很明显,这种方法并不管用。他们说,要识别这些 AI 内容非常困难。
真实用户发的帖子会被 AI 改写,但有些真实用户的写作方式也越来越像 AI;不需要 AI 辅助,有些人现在让他写东西,就是一个行走的 ChatGPT。
高级感,就是 AI 使用者嫌疑犯
AI 内容检测的困难,也发生在维基百科,它们的编辑发起了 AI 清理计划(Project AI Cleanup),并在上个月发布了一份 AI 写作的典型格式和风格列表,试图总结出一套能直接识别 AI 文风的特征。
科技媒体 TechCrunch 把这份指南,称作是目前最好的 AI 识别手册。但当你打开它,会感到一阵深深的无力感——因为它把许多标准的、甚至优美的书面语,直接打成了「AI 嫌疑犯」。
里面的内容非常详细,我们做了一些大致的整理,如果你用了下面这些词语,被认定为 AI 的可能性是相当大。

图片来源:https://en.wikipedia.org/wiki/Wikipedia:Signs_of_AI_writing
使用各种高级和 AI 常用词汇: 比如「革命性的」、「效率革命」、「根深蒂固的」、「格局」、「至关重要的」、「不仅……而且」、「不是……而是」、「最重要的是记住」等将近 100 多个相关的词语和表达。

上下滑动查看更多内容
语法过于严谨: 像是大量地使用现在分词做从句,在语法专家眼里这是标准用法,但在维基编辑眼里,这就是 AI 的惯用语。放到中文语境下,就是使用大量的长难句,可以拆分成几句话来表述的内容,非要写成论文一样,增大阅读障碍。

使用营销感明显的辞藻: 所有的风景都是「壮丽的」,所有的观点都是「惊人的」,这些词一旦出现,就像电视广告一样虚假。维基百科解释说,AI 在描述某些特定内容时,很难保持中立的语气,它会不可避免地使用到这些营销味十足的夸张用法。
此外还有一些编辑风格上的迹象,同样能表明内容是可能由 AI 生成。例如大量的分点列表,无论是数字列表还是无序列表,把不适合分点说明的内容,统统用列表来解释。还有反复出现的文本加粗、使用过度的破折号、坚持认为文章就是要有小标题和章节、以及排比句式等。
还挺讽刺,无论是破折号还是分点,甚至是那些已经被列为 AI 常用的词语,在 AI 出现之前,它们都有其合适的位置。现在的 AI 因为在模仿我们的高级写作,而我们为了避嫌,不得不放弃使用这些词汇和风格。
如果我们想证明自己是人,最好的方法是犯点错。
AI 时代的八股文
犯错也不是那么容易,我们没有 AI 那么善变。一边是 AI 在 Reddit 等社区的泛滥和伪装,导致整个互联网环境的信任崩塌,而我们普通人不得不为 AI 的入侵买单。
另一边,词汇丰富、逻辑严密、语法规范这些原本是写作水平高的表现,但在维基百科的 AI 检测逻辑下,这些特征变成了嫌疑。我们「买单」的成本变得越来越高,放弃追求完美的表达,转而模仿一种更笨拙的风格。
例如故意把「的、得、地」,这种明显但又不会被太在意的字词误用。还有,尝试各种具有自己风格的表达,像是前段时间网友热议的「居然人」和「竟然人」,在写作中继续保持住自己「X然」身份。

腾讯官方的朱雀 AI 检测助手,https://matrix.tencent.com/ai-detect/
每一个用过 AI 写作的网友,大概都会有类似为了摆脱 AI 检测,把自己的文字改来改去,煎熬的感受。在 Reddit 上,也有用户分享了同样令人哭笑不得的真实案例。
一位丈夫帮妻子修改研究生论文,妻子的初稿写作风格偏向意识流,不太懂学术规范,AI 检测率为 0%。这位丈夫帮她大改了一遍,修正了逻辑,润色了表达。结果,这篇「更好」的文章,AI 检测率飙升到了 12%。
最后他们不得不眼睁睁,看着那些漂亮的句子被一个个删掉,换成更笨拙、更破碎的表达。她必须把文章改得「不像 AI」,哪怕这意味着文章质量的下降。

Reddit 帖子链接:https://www.reddit.com/r/artificial/comments/1pci14r/writing_detection_tools_preventing_people_from/
过去我们担心应试教育,让学生写出千篇一律的文章;现在,AI 检测器正在制造同样的问题。为了通过检测,学生们开始被迫学习一种奇怪、笨拙的写作方式。
这是一个完全错位的惩罚机制,我们正在惩罚那些写得好的人,奖励那些写得笨拙的人。人类正在刻意让自己看起来像没受过教育一样,只为了向算法证明:看,这真是我写的。
但也有网友说,只要你写的比 AI 好,那就没什么好担心的;把正常的文章改的四不像,那是因为你自己能力不够。
如果 AI 能写出比人类更好的东西,那么人类就需要适应,并创造出更好的内容。
如果 AI 只能产出垃圾,那么我不认为我们有什么好担心的,因为人们通常会选择更好的东西。
说实话,AI 学习进化的速度,远超过我们发现「更好的表达」;今天可能用了某个新颖的句子,明天就能被 AI 学走。

技术发展的初衷,本意是让 AI 帮我们处理繁琐的文字工作,我们能回归创造性的思考。
但现实却是,AI 似乎正在享受「创作」的乐趣,哪怕是生成垃圾;而人类却在耗费精力,去证明自己不是那该死的机器,无论是通过做得更好还是更差。
也许我们就是躲不开,吃了一百个鲁迅和李白的 AI,就是越来越会写,我们也会越来越依赖它。AI 写的邮件、AI 写的年度报告、社交软件上的 AI 广告帖、甚至妈妈发来的短信也是 AI 写的……
即便那些从来不用 AI 的人,也被周围的人潜移默化,开始说出一些「AI 特征」明显的话。
「有没有用 AI」这个问题,总有一天在评论区里面不会再出现。
而那些在 AI 帖子下面付出的情感、激烈的争论、还有专门学习的「像傻瓜一样说话」,都变成了对 AI 的另一种「臣服」。
现在的互联网,用来验证是人类的,是识别几个数字,或者选出所有包含公共汽车的图片;再过几年,不知道还会有哪些考验,来让你相信我是一个人。

和三体一样,地球人在面对三体人到来时,说人类比蝗虫强大那么多倍,但是几百年了,蝗虫还是在漫天飞舞。
今天的 AI,也开始比我们的写作更强大,但只要我们还在表达,人类的声音就永远不会被 AI 取代。
