IT之家 2 月 16 日消息,今天下午,阿里在 chat.qwen.ai 页面低调上线了 Qwen3.5-Plus 和 Qwen3.5-397B-A17B 两款新模型。

IT之家从官方页面介绍获悉,Qwen3.5 Plus 定位为 Qwen 3.5 系列最新大语言模型,Qwen3.5-397B-A17B 定位则是 Qwen3.5 开源系列旗舰大语言模型。两款模型均支持文本和多模态任务。
根据阿里云方面介绍,Qwen3.5 实现了底层模型架构的全面革新,其中,Qwen3.5-Plus 版本总参数为 3970 亿,激活仅 170 亿,性能超过万亿参数的 Qwen3-Max 模型,部署显存占用降低 60%,推理效率大幅提升,最大推理吞吐量可提升至 19 倍。
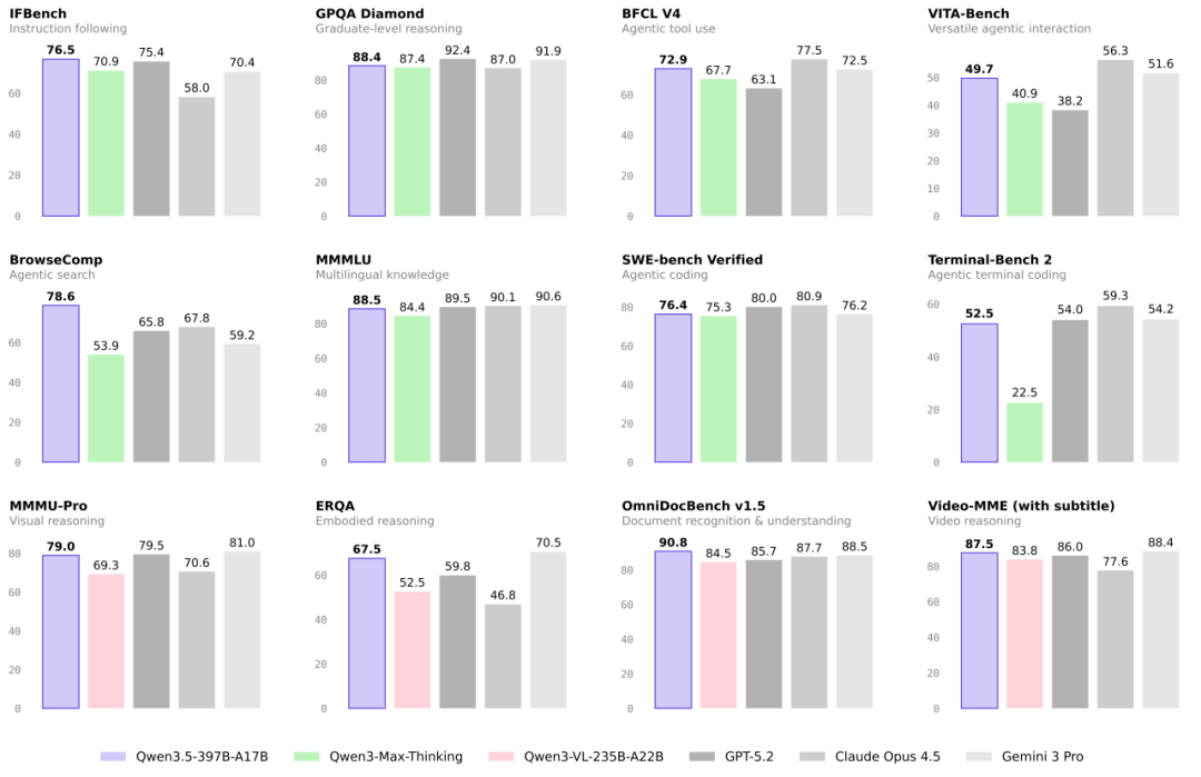
Qwen3.5-397B-A17B 在推理、编程、智能体能力与多模态理解等全方位基准评估中表现优异,助力开发者与企业显著提升生产力。该模型采用创新的混合架构,将线性注意力(Gated Delta Networks)与稀疏混合专家(MoE)相结合,实现出色的推理效率:总参数量达 3970 亿,每次前向传播仅激活 170 亿参数,在保持能力的同时优化速度与成本。同时,语言与方言支持从 119 种扩展至 201 种,为全球用户提供更广泛的可用性与更完善的支持。

Qwen3.5 在能力、效率与通用性三个维度上推进预训练:
能力(Power):在更大规模的视觉-文本语料上训练,并加强中英文、多语言、STEM 与推理数据,采用更严格的过滤,实现跨代持平:Qwen3.5-397B-A17B 与参数量超过 1T 的 Qwen3-Max-Base 表现相当。
效率(Efficiency):基于 Qwen3-Next 架构 —— 更高稀疏度的 MoE、Gated DeltaNet + Gated Attention 混合注意力、稳定性优化与多 token 预测。在 32k/256k 上下文长度下,Qwen3.5-397B-A17B 的解码吞吐量分别是 Qwen3-Max 的 8.6 倍 / 19.0 倍,且性能相当。Qwen3.5-397B-A17B 的解码吞吐量分别是 Qwen3-235B-A22B 的 3.5 倍 / 7.2 倍。
通用性(Versatility):通过早期文本-视觉融合与扩展的视觉 / STEM / 视频数据实现原生多模态,在相近规模下优于 Qwen3-VL。多语言覆盖从 119 增至 201 种语言 / 方言;25 万词表(vs. 15 万)在多数语言上带来约 10–60% 的编码 / 解码效率提升。

根据介绍,Qwen3.5 凭借高效的混合架构与原生多模态推理,为通用数字智能体奠定了坚实基础。下一阶段的重点将从模型规模转向系统整合:构建具备跨会话持久记忆的智能体、面向真实世界交互的具身接口、自我改进机制,目标是能够长期自主运行、逻辑一致的系统,将当前以任务为边界的助手升级为可持续、可信任的伙伴。
