何恺明又一次返璞归真。
最新论文直接推翻扩散模型的主流玩法——不让模型预测噪声,而是直接画干净图。

如果你熟悉何恺明的作品,会发现这正是他创新的典型路径,不提出更复杂的架构,而是把问题拆回最初的样子,让模型做它最擅长的那件事。
实际上,扩散模型火了这么多年,架构越做越复杂,比如预测噪声、预测速度、对齐latent、堆tokenizer、加VAE、加perceptual loss……
但大家似乎忘了,扩散模型原本就是去噪模型。
现在这篇新论文把这件事重新摆上桌,既然叫denoising模型,那为什么不直接denoise?
于是,在ResNet、MAE等之后,何恺明团队又给出了一个“大道至简”的结论:扩散模型应该回到最初——直接预测图像。
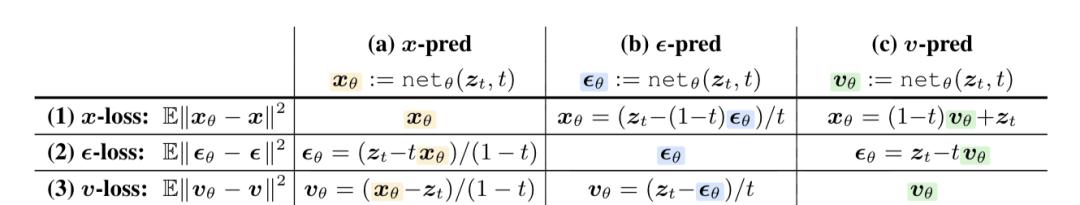
当下的主流扩散模型,虽然设计思想以及名为“去噪”,但在训练时,神经网络预测的目标往往并不是干净的图像,而是噪声, 或者是一个混合了图像与噪声的速度场。
实际上,预测噪声和预测干净图差得很远。
根据流形假设,自然图像是分布在高维像素空间中的低维流形上的,是有规律可循的干净数据;而噪声则是均匀弥散在整个高维空间中的,不具备这种低维结构。

简单理解就是,把高维像素空间想象成一个巨大的3D房间,而干净的自然图像其实都挤在房间里的一块2D屏幕上。这就是流形假设——自然数据看着维度高,实则集中在一个低维的「曲面(流形)」上。
但噪声不一样。它是弥漫在整个3D房间里的雪花点,不在屏幕上;而速度场也一样,一半在屏上、一半在屏外,同样也脱离了「流形」的规律。
这就导致了一个核心矛盾,在处理高维数据时,例如将图像切分为16x16甚至32x32的大Patch,要求神经网络去拟合无规律的高维噪声,需要极大的模型容量来保留所有信息,这很容易导致模型训练崩溃。
而相反呢,如果让网络直接预测干净的图像,本质上就是让网络学习如何将噪点投影回低维流形,这对于网络容量的要求要低得多,也更符合神经网络“过滤噪声、保留信号”的原本设计。

于是,这篇文章提出了一个极简的架构JiT——Just image Transformers。
正如其名,这就是一个纯粹处理图像的Transformer,它的设计非常简单。没有像普遍的扩散模型一样使用VAE压缩潜空间,也没有设计任何Tokenizer,不需要CLIP或DINO等预训练特征的对齐,也不依赖任何额外的损失函数。
完全从像素开始,用一个纯粹Transformer去做denoise。
JiT就像一个标准的ViT,它将原始像素切成大Patch(维度可高达3072维甚至更高)直接输入,唯一的改动就是将输出目标设定为直接预测干净的图像块。

实验结果显示,在低维空间下,预测噪声和预测原图的表现难分伯仲;但一旦进入高维空间,传统的预测噪声模型彻底崩溃,FID(越低越优)指数级飙升,而直接预测原图JiT却依然稳健。

模型的扩展能力也很出色。即使将patch尺寸扩大到64x64,让输入维度高达一万多维,只要坚持预测原图,无需增加网络宽度也能实现高质量生成。

团队甚至发现,在输入端人为引入瓶颈层进行降维,不仅不会导致模型失效,反而因为契合了流形学习过滤噪声的本质,进一步提升了生成质量。
这种极简架构在不依赖任何复杂组件或预训练的情况下,在ImageNet 256x256和512x512上达到了1.82和1.78的SOTA级FID分数。

这篇论文的一作是何恺明的开门弟子之一黎天鸿,本科毕业于清华姚班,在MIT获得了硕博学位之后,目前在何恺明组内从事博士后研究。

他的主要研究方向是表征学习、生成模型以及两者之间的协同作用。目标是构建能够理解人类感知之外的世界的智能视觉系统。
此前曾作为一作和何恺明开发了自条件图像生成框架RCG,团队最新的多项研究中他也都有参与。

也可以说这是一位酷爱湖南菜的学者,把菜谱都展示在了自己的主页上。

论文地址:https://arxiv.org/abs/2511.13720
